Je dobré mít přátele, ale raději ať vědí, že jim to můžeš oplatit, kdyby byli svedeni jednat jinak, než jak přátelé jednat mají.
-- Maugham



Hlavní strana
Novinky
Výuka
Projekty
Lidé
Jiné
Kontakt


 

Diskuzní fórum
Pískoviště
Poslední změny
Registrace
Etický kodex
Nápověda
Administrace
Hlášení chyb







  © 1999-2008 HEAT


JSPWiki v2.4.104
Verze k tisku

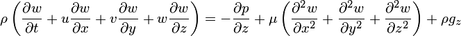
Navierovy-Stokesovy rovnice

(kartézské souřadnice)

Příbuzné pojmy

Cesta: Úvodní strana ****

Otevřená oborová encyklopedie elektrotepelné techniky, © 2005 N. Burbaki
Více informací... Přihlášení
Tato strana (revision-1) byla změněna 23:12 09.08.2008 uživatelem xkrumpha.