Život se podobá shromáždění při hrách. Jako tam jedni přicházejí, aby závodili, druzí za obchodem a třetí, nejlepší, jako diváci, tak se v životě rodí jedni, lidé otročtí, jako lovci slávy i bohatství a druzí, filosofové, jako lovci pravdy.
-- Pythagoras



Hlavní strana
Novinky
Výuka
Projekty
Lidé
Jiné
Kontakt


 

Diskuzní fórum
Pískoviště
Poslední změny
Registrace
Etický kodex
Nápověda
Administrace
Hlášení chyb







  © 1999-2008 HEAT


JSPWiki v2.4.104
Verze k tisku

Sdílení tepla

Příbuzné pojmy

Sdílení tepla je fyzikální děj, při kterém dochází k přenosu tepelné energie mezi termodynamickými systémy způsobenému rozdílem teplot. Může probíhat několika odlišnými fyzikální způsoby:

Počáteční podmínka

Počáteční podmínka charakterizuje rozložení teploty v tělese na počátku procesu, tj. v čase .

Okrajové podmínky

  • okrajová podmínka I. druhu - Dirichletova

Je zadána teplota povrchu tělesa Ts jako funkce času.

  • okrajová podmínka II. druhu - Neumannova

Je zadána hustota tepelného toku na povrchu tělesa jako funkce času.

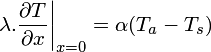
  • okrajová podmínka III. druhu - Fourierova

Tepelný tok vedením na povrchu tělesa je roven tepelnému toku konvekcí, neboli


Otevřená oborová encyklopedie elektrotepelné techniky, © 2005 N. Burbaki

Více informací... Přihlášení
Tato strana (revision-10) byla změněna 22:36 20.11.2007 uživatelem xkrumpha.