Všechno zlo v životě pochází z duševní prázdnoty, nudy, lenosti, a vše to je nevyhnutelné, když si člověk zvykne žít na účet jiných.
-- Čechov



Hlavní strana
Novinky
Výuka
Projekty
Lidé
Jiné
Kontakt


 

Diskuzní fórum
Pískoviště
Poslední změny
Registrace
Etický kodex
Nápověda
Administrace
Hlášení chyb







  © 1999-2008 HEAT


JSPWiki v2.4.104
Verze k tisku
This is version 16. It is not the current version, and thus it cannot be edited.
[Back to current version]   [Restore this version]

Zonální metoda

Příbuzné pojmy

Zonální metoda je vhodná k výpočtu sálavých toků v soustavě difúzně odrážejících ploch, kde každá plocha vykazuje konstantní sálavé veličiny, tj. teplotu a emisivitu. Pro výpočet potřebujeme rovněž znát i konfigurační faktory mezi plochami.

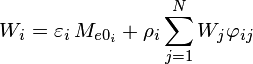
Rozdělíme si celý uvažovaný uzavřený termodynamický systém na N šedých ploch, které si označíme indexy i = 1..N. Každá z těchto ploch vyzařuje tepelný výkon Wi (radiozita) a dopadá na ni výkon Hi (iradiace) vyzářený z ostatních ploch.

Wi se skládá jednak z vlastní emise εi Me0i (prvotní záření podle Stefanova-Boltzmannova zákona) a dále výkonu, který vznikl odrazem Hi, vyzářeného ostatními plochami a dopadajícího na i-tou plochu (druhotné záření).

Matematicky tuto bilanci vyjádříme následující rovnicí.

                         (1)

Iradiace z ostatních ploch je definována jako:

                         (2)

Po dosazení (2) do (1) máme rovnici:

                         (3)

Po převedení posledního členu z pravé strany na levou:

                         (4)

Pro všech N povrchů dostaneme z (4) pro i=1..N soustavu N rovnic, která v maticovém tvaru vypadá následovně:


Under Construction Pics/uc.gif


Otevřená oborová encyklopedie elektrotepelné techniky, © 2005 N. Burbaki

Přílohy

zonalnimetoda.png Info on zonalnimetoda.png 13819 bytes
Více informací... Přihlášení
This particular version was published on 20:26 21.10.2007 by xkrumpha.