Velcí géniové dosahují cíle jedním krokem, kdežto lidé obyčejného ducha dosáhnou téhož cíle, teprve když odemknou cestou celou řadu zámků.
-- Mendelssohn - Bartholdy



Hlavní strana
Novinky
Výuka
Projekty
Lidé
Jiné
Kontakt


 

Diskuzní fórum
Pískoviště
Poslední změny
Registrace
Etický kodex
Nápověda
Administrace
Hlášení chyb







  © 1999-2008 HEAT


JSPWiki v2.4.104
Verze k tisku
   Mathematica® v el.tep. technice ... díl 1.

Řešení ustálených 1D tepelných polí.

Základem je Fourier Kirchhoffova rovnice

     Etmath/index_gr_1.gif
     Etmath/index_gr_2.gif

Pro stacionární případy obdržíme v 1D rovnici pro l závislé na teplotě a souřadnici.

     Etmath/index_gr_3.gif
     Etmath/index_gr_4.gif

Ukážeme si nějaké základní případy. Začněme nejjednodušším: stěna tloušťky d má tepelnou vodivost l=konst , v x=0 má teplotu T0 a teče jí tepelný tok q [W/(m^2 K)]. Ve stěně teplo nevzniká. Naše rovnice má tvar

     Etmath/index_gr_6.gif
     Etmath/index_gr_7.gif

Cauchyho úloha má v tomto případě fyzikální smysl následující:

     Etmath/index_gr_8.gif
     Etmath/index_gr_9.gif
     Etmath/index_gr_10.gif

Řešení obdržíme snadno a rychle:

     Etmath/index_gr_11.gif
     Etmath/index_gr_12.gif

A vidíme lineární závislost teploty na souřadnici. Například pro cihlovou zeď ....

     Etmath/index_gr_13.gif
     Etmath/index_gr_14.gif

Schválně jsme napsali "Cauchyho úloha" a nikoli "okrajová podmínka". F.-K. rovnice je parciální diferenciální rovnice, okrajová podmínka znamená znalost řešení na hranici nějaké oblasti, při redukci na 1D problém je touto oblastí intarval a jeho hranicí dva jeho krajní body. Ovšem pro obyčejné diferenciální rovnice je třeba znát v jednom bodě hodnotu řešení a jeho derivaci a nikoli hodnotu řešení ve dvou různých bodech. V některých případech to nevadí:

     Etmath/index_gr_16.gif
     Etmath/index_gr_17.gif

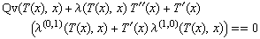
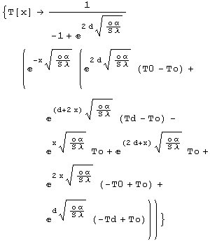
ndy to vadit bude. Každopádně jde o zajímavý vztah mezi PDR a ODR. Pojďme dále; často se uvádí rovnice uvažující přecházení tepla např. z vodiče do okolí konvekcí; pro plošnou hustotu výkonu platí q=a*(T[x]-Tokoli), dále se uvažuje

q*obvod*dx=Qv*průřez*dx; odtud snadno Qv=     Etmath/image15.gif; označme obvod=o, průřez=S

     Etmath/index_gr_19.gif
     Etmath/index_gr_20.gif
     Etmath/index_gr_21.gif
     Etmath/index_gr_22.gif
     Etmath/index_gr_23.gif

Na první pohled možná vypadá tento průběh podivně, ale když se nad tím zamyslíte, jak prostupuje teplo vedením třeba drátem a konvekcí do okolí /význam použitých symbolů je doufám jasný/, vidíme, že je to správně. Postupujme dále a vyšetřeme případy s proměnnými látkovými vlastnostmi, zde především tepelnou vodivostí. Styk dvou látek můžeme simulovat rychle probíhajícím spojitým přechodem.

     Etmath/index_gr_24.gif
     Etmath/index_gr_25.gif
     Etmath/index_gr_26.gif

     Etmath/index_gr_27.gif
     Etmath/index_gr_28.gif
     Etmath/index_gr_29.gif
     Etmath/index_gr_30.gif
     Etmath/index_gr_31.gif

Řešení bylo provedeno numericky, jednoduše proto, že výhody analytických řešení již výhodami nejsou-pokud nalezneme řešení v uzavřeném tvaru, je tak komplikované, že z něj "nic nevidíme." Všimněte si také, že jsme opět řešili Cauchyho úlohu a nikoli úlohu okrajovou. Numerické metody řešení okrajových úloh jsou mnohem méně propracované než pro řešení Cauchyho úlohy. Zde se zmíním jen o tzv. metodě střelby.

     Etmath/index_gr_32.gif
     Etmath/index_gr_33.gif

V podstatě řešíme Cauchyho úlohy pro soubor hodnot první derivace na levé hranici; z řešení vybereme to, které má požadovaniou hodnotu na pravé hranici.Při vedení tepla entropie systému stoupá a tento proces je stabilní pro "skoro všechny" materiály. Zobrazení z hodnot derivace (tedy tepelného toku) do teploty na druhé straně zdi je jednoznačné a proto je metoda střelby snadno algoritmizovatelná.

1.etnotebook(info)

Přílohy

image15.gif Info on image15.gif 1186 bytes
index_gr_1.gif Info on index_gr_1.gif 1039 bytes
index_gr_10.gif Info on index_gr_10.gif 169 bytes
index_gr_11.gif Info on index_gr_11.gif 661 bytes
index_gr_12.gif Info on index_gr_12.gif 277 bytes
index_gr_13.gif Info on index_gr_13.gif 676 bytes
index_gr_14.gif Info on index_gr_14.gif 1013 bytes
index_gr_16.gif Info on index_gr_16.gif 662 bytes
index_gr_17.gif Info on index_gr_17.gif 427 bytes
index_gr_19.gif Info on index_gr_19.gif 2173 bytes
index_gr_2.gif Info on index_gr_2.gif 682 bytes
index_gr_20.gif Info on index_gr_20.gif 2307 bytes
index_gr_21.gif Info on index_gr_21.gif 1392 bytes
index_gr_22.gif Info on index_gr_22.gif 1007 bytes
index_gr_23.gif Info on index_gr_23.gif 166 bytes
index_gr_24.gif Info on index_gr_24.gif 2046 bytes
index_gr_25.gif Info on index_gr_25.gif 1322 bytes
index_gr_26.gif Info on index_gr_26.gif 166 bytes
index_gr_27.gif Info on index_gr_27.gif 351 bytes
index_gr_28.gif Info on index_gr_28.gif 887 bytes
index_gr_29.gif Info on index_gr_29.gif 1443 bytes
index_gr_3.gif Info on index_gr_3.gif 786 bytes
index_gr_30.gif Info on index_gr_30.gif 1025 bytes
index_gr_31.gif Info on index_gr_31.gif 166 bytes
index_gr_32.gif Info on index_gr_32.gif 2242 bytes
index_gr_33.gif Info on index_gr_33.gif 3402 bytes
index_gr_4.gif Info on index_gr_4.gif 855 bytes
index_gr_6.gif Info on index_gr_6.gif 309 bytes
index_gr_7.gif Info on index_gr_7.gif 149 bytes
index_gr_8.gif Info on index_gr_8.gif 849 bytes
index_gr_9.gif Info on index_gr_9.gif 157 bytes
prvniet.nb Info on prvniet.nb 136868 bytes
Více informací... Přihlášení
Tato strana (revision-19) byla změněna 18:04 20.11.2007 uživatelem xkrumpha.